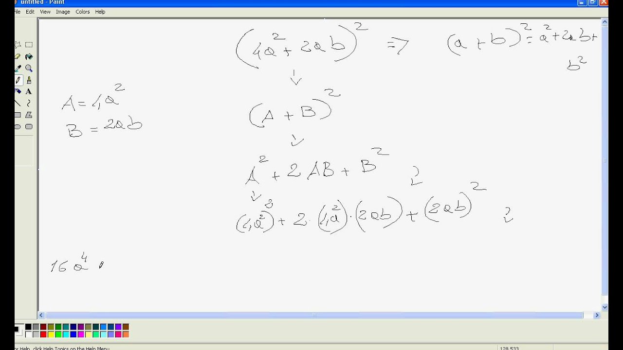
Se stai preparando l'esame di matematica e vuoi una preparazione completa, scopri i corsi di matematica per completare al meglio la tua conoscenza! La scomposizione del quadrato di binomio è: A^2+2AB+B^2 = (A+B)^2. La possiamo applicare per la presenza di due quadrati e un doppio prodotto.. Dimostrazione del quadrato di un binomio. La regola del quadrato di binomio si dimostra in maniera molto semplice: basta moltiplicare la parentesi per se stessa così da ottenere la formula risolutiva. Come dicevamo, si tratta di un prodotto notevole, perché ci evitiamo ben due passaggi semplicemente ricordando la regola del quadrato di binomio.

Prodotti notevoli il quadrato di un binomio Matematica Facile

Binomio cuadrado negativo (a b)^2 (x2)^2 YouTube

Quadrato di un binomio YouTube

ESERCIZI QUADRATO DI UN BINOMIO YouTube

cuadrado de un binomio(positivo y negativo) YouTube

Altri esempi di quadrato di un binomio Matematica Facile

Interpretazione geometrica del Quadrato di binomio YouTube

Quadrato di binomio come si risolvono i quadrati di binomio?

quadrato di un binomio YouTube

BINOMIO AL CUADRADO (Negativo) YouTube

Interpretazione geometrica del quadrato di un binomio YouTube

Quadrato di un binomio 1 YouTube

12 quadrato di binomio pt2 YouTube

Quadrato del binomio rappresentazione geometrica YouTube

Binomio de Newton (o teorema del binomio)

Altri esempi di quadrato di un binomio Matematica Facile

BINOMIO AL CUADRADO (Negativo) PRODUCTOS NOTABLES YouTube

Il quadrato di un binomio (con frazioni) Terzo esercizio YouTube

CL001 QUADRATO DI UN BINOMIO PARTE 1 YouTube

BINOMIO AL CUADRADO Negativo (Ejercicio 2) YouTube
la formula del quadrato di un binomio esprime geometricamente l'uguaglianza tra l'area del quadrato di lato e la somma delle aree dei quadrati di lato , di lato e di due rettangoli di lati. dimostrazione. costruiamo un quadrato di lato uguale ad. congiungiamo gli estremi dei segmenti e. otteniamo quattro quadrilateri: un quadrato di lato.. Video lezione sul prodotto notevole quadrato di un binomioTest a risposta multipla su quest'argomento: http://www.compitoinclasse.org/simulatori/domanda-test.