Modelo de Contrato de Trabajo Temporal. Te dejamos este contrato para que puedes descargarlo o editarlo completamente Gratis. Los contratos temporales son una herramienta esencial tanto para empresas como para trabajadores. Permiten una relación laboral flexible y adaptada a las necesidades específicas de cada momento.. Formato de Contrato de Obra Privada. Aquí te dejamos un modelo de contrato de obra privada para descargar GRATIS en Word. Podrás editar como mejor te parezca y de acuerdo con tus necesidades. Asimismo, tienes disponible un contrato de obra privada PDF que resulta ideal para enviar por correo electrónico u otros medios.
Como Hacer Un Contrato De Obra De Construccion 2023
Sencillo Modelo De Contrato Simple De Servicios Vários Modelos
Contrato de Trabajo Modelo.pdf

Modelo de contrato privado para acuerdos personales Guía práctica entre dos personas

Modelo de contrato de trabajo

MODELO DE CONTRATO LABORAL
Modelo De Contrato De Trabajo Simple En Word Vários Modelos

Como Hacer Un Contrato De Trabajo Privado Modelo
Diversos Modelos Contratos de Trabajo Derecho laboral Salario

Download CONTRATO PRIVADO DE ALBAÑILERIA Documents Contrato, Albañileria, Ejercicios de

Modelo De Contrato De Trabajo Para Chofer Particular Noticias Modelo
Contrato Privado de Construcción Modelo Presupuesto Pagos

Contrato de Trabajo Modelo en Formatos Word y PDF

Modelo de Contrato de trabajo en Ecuador para revision CONTRATO DE TRABAJO INDEFINIDO En la

MODELO DE CONTRATO PRIVADO DE CAFETERÍA

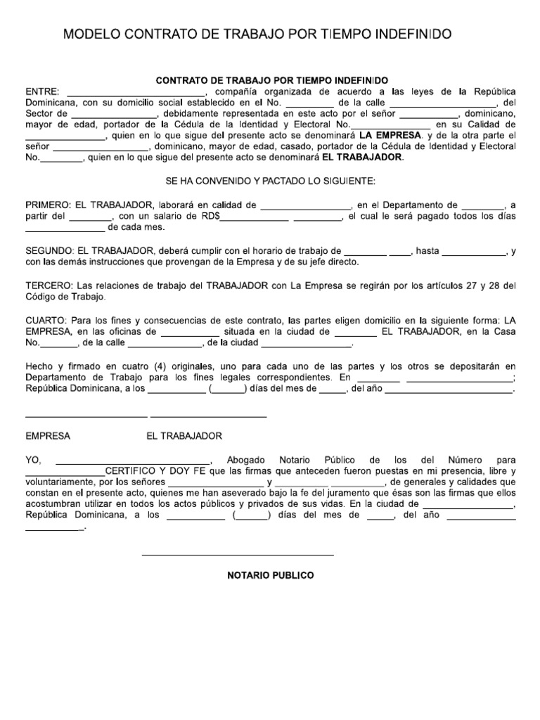
Contrato DE Trabajo Modelo Actualizado CONTRATO DE TRABAJO POR TIEMPO INDEFINIDO ENTRE DE UNA

Contrato Individual de Trabajo Modelo Word y PDF

Contrato de Trabajo Modelo, Formato Word y PDF

Modelo De Contrato De Trabajo Modelos Y Declaraciones 2021 B4B

Contrato privado para la construcción de una vivienda Contrato, Contrato de servicios
En resumen, un contrato de trabajo privado en España es un documento legal que establece las condiciones y términos de empleo entre un empleador y un empleado en el sector privado. Es esencial para garantizar el cumplimiento de los derechos laborales y evitar conflictos en la relación laboral. Existen diferentes tipos de contratos de trabajo.. Contrato de trabajo. Última revisión 04/01/2024. Formatos Word y PDF. Tamaño 5 a 7 páginas. 4.7 - 301 votos. Completar el modelo. Un contrato de trabajo es un documento a través del cual se formaliza una relación laboral entre una persona física o moral que requiere los servicios de uno o varios trabajadores (patrón) y un trabajador.